Sume mari de bani au fost alocate de la stat pentru partidele politice, în anul 2022. Subvențiile acordate s-au ridicat la 38,6 milioane de lei, potrivit raportului Comisiei Electorale Centrale (CEC), prezentat la ședința de astăzi a Comisiei juridice, numiri și imunități.
Potrivit Raportului pentru anul 2022 privind finanțarea partidelor politice și a campaniilor electorale, anul trecut, în bugetul CEC au fost alocate mijloace financiare în valoare de 42 de milioane de lei, care urma să fie distribuite către 36 de partide politice, conform performanțelor obținute de acestea la alegerile parlamentare anticipate din 11 iulie 2021, la alegerile prezidențiale din 1 noiembrie 2020 și la alegerile locale generale din 20 octombrie 2019.
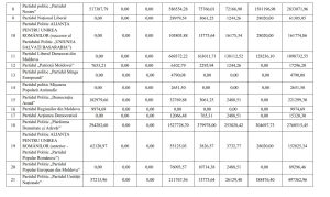
În topul partidelor care au primit cei mai mulți bani de la stat este PAS – 15,7 milioane de lei urmat de Partidul Socialiștilor – 8,3 milioane de lei, Partidul Democrat redenumit în Partidul Social Democrat – 4 milioane de lei, Partidul Nostru – 2,8 milioane de lei, Platforma DA – 2,7 milioane de lei și Partidul Comuniștilor – 2 milioane de lei.



Cum s-au distribuit banii
– pentru fiecare vot valabil exprimat, acordat partidelor politice și blocului electoral în cadrul alegerilor parlamentare anticipate din 11 iulie 2021 în mărime de 0,7173985 lei;
– cuantumul alocațiilor lunare pentru fiecare vot valabil exprimat ,acordat partidelor politice și blocurilor electorale în cadrul alegerilor locale generale din 20 octombrie 2019 în mărime de 0,3622262 lei;
– cuantumul alocațiilor lunare pentru fiecare vot valabil exprimat la alegerile prezidențiale din 1 noiembrie 2020, în mărime de 0,5780775 lei;
– cuantumul alocațiilor lunare pentru fiecare femeie aleasă efectiv în cadrul alegerilor parlamentare anticipate din 11 iulie 2021, în mărime de 6567,3437500 lei;
– cuantumul alocațiilor lunare pentru fiecare femeie aleasă efectiv în cadrul alegerilor locale generale din 20 octombrie 2019, în mărime de 63,7760986 lei;
– cuantumul alocaților lunare pentru fiecare tânăr ales efectiv în cadrul alegerilor parlamentare anticipate din 11 iulie 2021, în mărime de 10 945,5729167 lei și cuantumul alocațiilor lunare pentru fiecare tânăr ales efectiv în cadrul alegerilor locale generale din 20 octombrie 2019 în mărime de 103,6880797 lei.
Pentru performanțele obținute în alegerile locale generale din 20 octombrie 2019 au beneficiat de alocații de la bugetul de stat 22 partide politice;
Pentru performanțele obținute în alegerile parlamentare anticipate din 11 iulie 2021 au beneficiat de alocații de la bugetul de stat și au informat Comisia despre deschiderea contului respectiv 16 partide politice;
Pentru performanțele obținute în alegerile prezidențiale din 1 noiembrie 2020 au beneficiat de alocații de la bugetul de stat și au comunicat Comisiei despre deschiderea contului respectiv 9 partide politice.